1. Introduction
The most common inorganic nitrogen species in the environment are ammonia (NH3 or $\mathrm{NH}_{4}^{+}$), nitrite $\mathrm{NO}_{2}^{-}$ and nitrate $\mathrm{NO}_{3}^{-}$. Ammonia is always oxidized to nitrate through two successive steps by nitrifying bacteria: $(\mathrm{NH}_{3}\text { or } \mathrm{NH}_{4}^{+})\rightarrow \mathrm{NO}_{2}^{-} \rightarrow \mathrm{NO}_{3}^{-}$. As a result, the nitrate concentration in water and soil is usually higher than that of other inorganic nitrogen species [1]. Nitrate and other inorganic nitrogen species are present in aquatic environments as normal biological degradation products of proteins and nucleic acids. They can also enter natural waters through agricultural fertilizers, animal excrement runoff, industrial wastes, and sewage effluents [2, 3]. Due to its high solubility, nitrate is considered as one of the most common contaminants in the ground water aquifers destined for drinking water supplies [4]. In fact, the consumption of an excessive amount of nitrate can lead to some diseases, among which the most well-known is methemoglobinemia which affects bottle-fed infants under six months (blue baby syndrome) [5, 6], and even children aged between one and seven years [7]. The latter study which was carried out in a North African country (Morocco) has shown that blue-baby syndrome affects about 36.2% of children who consume water with nitrate concentrations above 50 mg/L [7]. Incidentally, a study realized in Tunisia has revealed that groundwater in the north of the country significantly exceeds this concentration threshold [8].
Therefore, nitrate removal treatment of Tunisian groundwater is highly recommended to protect the child population. Furthermore, nitrate can be reduced to nitrite in acidic gastric medium, leading to the formation of nitrosamine compounds, which are suspected to cause gastric cancer among adult people [9]. A recent study conducted in Tunisia between 2010 and 2014 has demonstrated that stomach cancer rates are 61.4% in men and 38.6% in women. Among the most likely direct causes is the consumption of foods rich in nitrites and nitrates [10]. For this reason, the maximum admissible concentration level of nitrate in drinking water should not exceed 10 mg⋅L−1 of $\mathrm{NO}_{3}^{-}-\mathrm{N}$, as recommended by the World Health Organization (WHO) and the U.S. Environmental Protection Agency [11, 12, 13, 14].
Furthermore, the nitrate ions have a direct impact on the environment, as a high input of nitrogen can cause a massive proliferation of phytoplankton and algae in the aquatic environments, leading to excessive consumption of dissolved oxygen. This phenomenon, called eutrophication, causes the death and decay of many aquatic organisms, causing in turn an imbalance of the ecosystem equilibrium [15, 16]. Currently, the main treatment methods used for nitrate removal from natural water are reverse osmosis, electrodialysis, ion exchange, biological processes, and adsorption. Not only have these methods proven to be efficient, but they also provide high-quality water and some of them are easy to apply. However, some are relatively expensive, require high energy consumption and can be difficult to implement. Moreover, some generate large volumes of wastewater, which presents an additional challenge to address [17, 18, 19, 20, 21, 22, 23]. The adsorption method is based on the surface retention of nitrate ions via ionic bonds or by intraparticle diffusion on a finely divided solid material.
Compared to existing processes, adsorption is lower in cost, more easily applied, cleaner, and safer without releasing nitrate-laden wastewater or other chemicals. Currently, there is a wide range of adsorbents used to remove nitrate from water which could be natural or synthetic [24]. Natural adsorbents were used either in their native state without any modification of surface structure such as chitosan [25], sugarcane bagasse [26], agriculture waste [27] and algae [28], or thermally or chemically activated such as activated carbon derived from pomegranate rind, or [29] sepiolite activated by HCl [30], etc. The synthetic nitrate adsorbents can include polymer cross-linked with natural materials [31], activated materials coated with metal oxide nanoparticles [32], or chemical compounds cross-linked with a polymer [33]. The maximum adsorption capacity of nitrate, obtained with the adsorbents currently used, ranges from 0.25 to 350 mg⋅g−1 of nitrate nitrogen according to the experimental conditions in which the retention was carried out [24]. However, the yield and effectiveness of an adsorbent can be better evaluated objectively at the level of large-scale treatment station, where a large amount of this material will be needed and high volume of water will be treated. Consequently, the cost of the adsorbent will be a leading factor which determines the economic profitability of the denitrification process.
Thus, due to the aforementioned reasons and within this context, the present research work tries to investigate a natural low-cost adsorbent for nitrate removal from aqueous solutions in batch experiments. The adsorbent applied is a sea plant Posidonia oceanica (L.) widely abundant on Mediterranean coasts and available almost throughout the year [34]. Apart from its nitrate biosorption properties in its dead state, the living P. oceanica plays an important role as a bioindicator for monitoring water quality, as well as for assessing ecosystem health and evaluating the impacts of climate change. In fact, P. oceanica meadows stabilize the sediment, protect the beaches from erosion and have a positive effect on the clarity of water [35, 36, 37]. As they are highly sensitive to anthropogenic effects, the long-term decline in shoot density and the morphological changes observed in P. oceanica meadows over several decades, indicate climate change driven by the environmental pollution [38, 39, 40, 41].
In the present work, the biosorbent was used in a dead state. It was dried at room temperature, chipped and crushed into fine powder. The method shows good efficiency, requires no chemicals except a few drops of HCl or NaOH for pH adjustment, and does not release any waste effluent, making it a promising alternative denitrification process suitable for large-scale applications. Unlike reverse osmosis, electrodialysis, ion exchange, and biological denitrification, the adsorption process by P. oceanica requires neither pretreatment of raw water except pH adjustment nor posttreatment of water. This minimizes the treatment cost and increases the competitivity of the process in comparison to other denitrification processes cited previously. Furthermore, P. oceanica is organic matter that can be incinerated after use and preserved in a narrow place far from natural water resources, contributing to the environmental protection.
2. Material and methods
2.1. Biosorbent preparation
The seagrass P. oceanica was collected in the dead state as a ball of rolled-up brown fibers from the Soliman delegation beach, southeast of Tunis (GPS: Latitude: 30.732394, Longitude: 10.469454). The harvest was done at the beginning of summer, in June. The contribution of nitrates in this beach comes mainly from two sources: the discharge of urban water treated by a plant that does not carry out tertiary denitrification treatment and the runoff towards the sea of the excrement of cows which are very numerous in this region. A mass of 100 g of sea plant was put in 500 mL of distilled water and stirred during 24 h. Subsequently, the plant was dried at 80 °C, chipped and crushed. The surface area of P. oceanica powder was 25.75 m2⋅g−1 according to the Brunauer–Emmett–Teller (N2-BET) isotherm method and using an Anton Pear autosorb 6100 analyzer. The powder obtained from the plant was transferred into a concentrated NaOH solution (1 M) and the mixture was stirred during 24 h [42, 43, 44, 45]. The purpose of this operation is to force an ionic exchange between hydroxide ions (OH−) and the nitrate ions ($\mathrm{NO}_{3}^{-}$) already accumulated by the Posidonia fibers when it was in the sea. This ionic exchange could also clear P. oceanica of other anions such as: Cl−, F−, I−, $\mathrm{SO}_{4}^{-}$, etc., some of which disturb the determination of nitrate by the sodium salicylate method [46] and compete with it on the active sites of the biosorbent. Eventually, the biosorbent powder was washed with deionized water in excess, dried at 40 °C in an oven, and preserved in a desiccator for further use.
2.2. Reagents
All chemicals used were of analytical grade and all nitrate concentrations were expressed in nitrate nitrogen, such as 1 mg⋅L−1 of $\mathrm{NO}_{3}^{-}-\mathrm{N}$ corresponds to 4.428 mg⋅L−1 of $\mathrm{NO}_{3}^{-}$ [46]. The nitrate stock solution having a concentration of 100 mg⋅L−1 of $\mathrm{NO}_{3}^{-}-\mathrm{N}$ was prepared by dissolving 0.772 g of KNO3 previously dried at 105 °C for 4 h, in pure water adjusted to a 1000 mL volumetric flask [1]. The stock solution was stored in a refrigerator at 4 °C and prepared anew every two months. Working standards ranging from 0.5 to 5 mg⋅L−1 of $\mathrm{NO}_{3}^{-}-\mathrm{N}$ were prepared immediately before usage by accurate serial dilution of the stock solution. The other solutions required for the nitrate calibration curve or to carry out the adsorption experiments were prepared by dissolving the corresponding salt in the appropriate volume of deionized water. The pH was adjusted using HCl or NaOH (0.1 M) solutions.
2.3. Nitrate determination
Nitrate concentration after each biosorption experiment was determined by the sodium salicylate spectrophotometric method described by many previous works [46, 47, 48]. Absorbance measurements were performed using a double beam Shimadzu 1800 UV–Vis spectrophotometer. Direct absorbance at 415 nm was recorded for each nitrate solution using a pair of UV quartz cells with 1 cm in optical path length. Nitrate concentration was deduced by the projection on a calibration curve plotting absorbance versus concentration. An example of such a calibration curve is given by Figure 1.
Calibration curve plotting absorbance versus concentration of standard solutions.
The linear fit of the points in Figure 1 gives a slope of 0.28958, an intercept of −0.00584 and a correlation coefficient of 0.9998. The latter parameter presents a strong linear correlation between absorbances and concentrations, confirming the accuracy of the nitrate determination method used.
2.4. Batch biosorption experiments
Batch experiment is an analytical method conducted in static mode, which involves contacting a fixed volume of water to purify in contact with a given mass of biosorbent, under controlled conditions of agitation time, temperature, and pH. For all experiments, the biomass dosage of P. oceanica was chosen at its optimum value and biosorption was conducted at room temperature (30 ± 2 °C), in 100 mL erlenmeyer flasks and under 100 rpm agitation. A given mass of P. oceanica was agitated in 30 mL of a nitrate solution using an LBX SO4X10 multiposition magnetic stirrer. The solution’s pH was measured by an AZ 86505 pH meter and adjusted using HCl or NaOH (0.1 M) solutions as required. The zeta potential was determined using a Malvern S90 zetasizer.
2.5. Biosorption isotherms
Three isotherm models (Langmuir, Freundlich, and Dubinin–Radushkevich) were investigated to fit the sorption equilibrium data obtained in this research work. The comparison of the correlation coefficient (r) of the linear forms of all models indicates which isotherm provides the best fit of the experimental data and therefore best describes the sorption process.
The Langmuir isotherm describes quantitatively the formation of a monolayer adsorbate on the outer surface of the adsorbent, and no subsequent further adsorption takes place. This model assumes monolayer adsorption onto a homogeneous surface with a finite number of identical sites, and without interaction between sorbed molecules. Based on these assumptions, Langmuir established the equation of his model as follows (Equation (1)) [49, 50]:
| \begin {equation}\label {eq1} Q_{\mathrm {e}} = \dfrac {Q_{\max }bC_{\mathrm {e}}}{1 + bC_{\mathrm {e}}}, \end {equation} | (1) |
| \begin {equation}\label {eq2} \dfrac {1}{Q_{\mathrm {e}}} = \dfrac {1}{Q_{\max }} + \dfrac {1}{bQ_{\max }C_{\mathrm {e}}}. \end {equation} | (2) |
| \begin {equation}\label {eq3} R_{\mathrm {L}} = \dfrac {1}{1+bC_{0}}. \end {equation} | (3) |
| \begin {equation}\label {eq4} Q_{\mathrm {e}} = K_{\mathrm {F}}{C}_{\mathrm {e}}^{1/n}, \end {equation} | (4) |
| \begin {equation}\label {eq5} \mathrm {Ln}(Q_{\mathrm {e}}) = \mathrm {Ln} (K_{\mathrm {F}}) + \dfrac {1}{n} \mathrm {Ln} (C_{\mathrm {e}}). \end {equation} | (5) |
| \begin {equation}\label {eq6} \mathrm {Ln}(Q_{\mathrm {e}}) = \mathrm {Ln}(Q_{\max }) - \beta \varepsilon ^{2}, \end {equation} | (6) |
| \begin {equation}\label {eq7} \varepsilon = RT \mathrm {Ln} \left (1 + \dfrac {1}{C_{\mathrm {e}}}\right ), \end {equation} | (7) |
| \begin {equation}\label {eq8} E = \dfrac {1}{\sqrt {2\beta }}. \end {equation} | (8) |
2.6. Chi-square test
The statistical hypothesis chi-square test $\begin {equation}\upchi ^{2}\end {equation}$ is applied in this work to verify the conformity between the experimental data and the values predicted by a theoretical model. The comparison is made between the experimental equilibrium biosorption capacities and those calculated by the model.
The conformity chi-square test is based on two hypotheses, as follows:
Hypothesis H0: There is conformity with the theoretical model at a given confidence level.
Hypothesis H1: There is no conformity with the theoretical model.
The observed chi-square value is calculated as follows:
| \begin {equation}\label {eq9} \upchi _{\mathrm {obs}}^{2} = \displaystyle \sum _{i=1}^{n} \dfrac {(Q_{\mathrm {e}(\exp )} - Q_{\mathrm {e}(\mathrm {theo})})^{2}} {Q_{\mathrm {e}(\mathrm {theo})}}, \end {equation} | (9) |
The comparison between the observed chi-square value $\upchi _{\mathrm{obs}}^{2}$ and the critical chi-square value $\upchi _{\mathrm{c}}^{2}$, at a given number of degrees of freedom and confidence level, can lead to two possibilities:
| \begin {eqnarray*} \upchi _{\mathrm {obs}}^{2} &\leq & \upchi _{\mathrm {c}}^{2}\colon \mbox { hypothesis }\mathrm {H}_{0} \mbox { is retained} \\ \upchi _{\mathrm {obs}}^{2} &>& \upchi _{\mathrm {c}}^{2}\colon \mbox { hypothesis }\mathrm {H}_{1} \mbox { is retained}. \end {eqnarray*} |
2.7. Biosorption kinetic modeling
In this research work, we applied the well-known and much-cited following kinetic models: pseudo-first order [61], pseudo-second order [62], and intraparticle diffusion models [63].
Table 1 shows the equation of each kinetic model and its integrated form, where Qt and Qe (mg⋅g−1) are the amount of solute at an instant t (min) and at equilibrium, respectively, Ci (mg⋅g−1) is a constant that depends on adsorbent nature, k1 (min−1), k2 (g⋅mg−1⋅min−1), and kp (mg⋅g−1⋅min−0.5) are the rate constant of the pseudo-first order, pseudo-second order, and intraparticle diffusion models, respectively. Qcal.1 and Qcal.2 are the calculated (theoretical) amounts of solute retained at adsorption equilibrium for the pseudo-first order and pseudo-second order models, respectively. The coefficients k1 and Qcal.1, k2 and Qcal.2, and kp can be estimated from the curve plotting Ln(Qe − Qt) versus t, t/Qt versus t, and Qt versus t0.5 for the pseudo-first order, pseudo-second order, and intraparticle diffusion models, respectively (Table 1).
Original, linearized forms and deduced parameters of the kinetic models used
| Kinetic model | Original form | Linearized form | Plot | Deduced parameters |
|---|---|---|---|---|
| Pseudo-first order model | Qt = Qe(1 −exp(−k1t)) | Ln(Qe − Qt) = Ln(Qcal.1) − k1t | Ln(Qe − Qt) versus t | Slope: k1
Intercept: Qcal.1 |
| Pseudo-second order model | $Q_{t} = \dfrac {k_{2}{Q}_{t}^{2}t}{1+k_{2}Q_{\mathrm{e}}t}$ | $\dfrac {t}{Q_{t}} = \dfrac {1}{k_{2}{Q}_{\mathrm{cal}.2}^{2}} + \dfrac {1}{Q_{\mathrm{cal}.2}}t$ | $\dfrac {t}{Q_{t}}$ versus t | Slope: k2
Intercept: Qcal.2 |
| Intraparticle diffusion model | $Q_{t} = k_{\mathrm{p}}\sqrt{t} + C_{\mathrm{I}}$ | $Q_{t} = k_{\mathrm{p}}\sqrt{t} + C_{\mathrm{I}}$ | Qt versus t | Slope: kp |
Among the first two models, the best fit was selected based on both linear regression correlation coefficient (r) of the plot and the concordance between the calculated and experimental equilibrium amount values (Qe) of adsorbed solute. For the third model, the shape of the curve Qt versus t0.5 determines the importance of each transport step for solute adsorption.
2.8. Thermodynamic parameters
The thermodynamic parameters of the biosorption reaction such as equilibrium constant KC, standard free enthalpy change $\Delta {G}_{T}^{0}$, standard enthalpy $\Delta {H}_{T}^{0}$ change and standard entropy change $\Delta {S}_{T}^{0}$ were determined using the relations summarized in Table 2.
Thermodynamic relations used
| Equilibrium biosorption constant | $K_{\mathrm{C}} = \dfrac {(C_{0}-C_{\mathrm{e}})}{C_{\mathrm{e}}} = \dfrac {C_{\mathrm{S}}}{C_{\mathrm{e}}}$ |
| Standard free enthalpy change | $\Delta {G}_{T}^{0} = -RT\mathrm{Ln}(K_{\mathrm{C}}) = \Delta {H}_{T}^{0} - T\cdot \Delta {S}_{T}^{0}$ |
| Van’t Hoff relation | $\mathrm{Ln}(K_{\mathrm{C}}) = \dfrac {\Delta {S}_{T}^{0}}{R} - \dfrac {\Delta {H}_{T}^{0}}{RT}$ |
Where Ce is the concentration of $\mathrm{NO}_{3}^{-}-\mathrm{N}$ (mg⋅L−1) at equilibrium and CS the adsorbed concentration of $\mathrm{NO}_{3}^{-}-\mathrm{N}$ (mg⋅L−1) by biosorbent. The concentration CS also represents the mass of adsorbate retained by adsorbent mass corresponding to one liter of solution [64].
2.9. Infrared spectroscopy analysis
Infrared spectroscopy was used to determine the main functional groups in P. oceanica powder involved in the biosorption process. The powder of P. oceanica (3 mg) was dispersed in KBr (200 mg, spectroscopic grade), and the mixture was ground in an agate mortar until perfectly homogeneous. The mixture was transferred to a disc of diameter 1 cm under a pressure of 14 tons using a hydraulic press. The infrared spectra were recorded by scanning the range of 400–4000 cm−1 using a PerkinElmer Frontier FTIR spectrometer. The reference spectrum was a polystyrene film and the background spectrum of pure KBr was subtracted from the sample spectrum. Each recorded spectrum was the result of a ten-scan accumulation and was obtained with a 1 cm−1 spectral resolution.
Scheme 1 shows the two vibrational modes of nitrates that appear in the mid-infrared spectral region, whose corresponding bands could be very helpful in the characterization.
2.10. Analysis by scanning electron microscopy and energy dispersive spectroscopy
The analysis by scanning electron microscopy (SEM) gives information about the topography change on the P. oceanica surface before and after nitrate biosorption. Likewise, the analysis by energy-dispersive X-ray spectroscopy (EDS) detects the slightest variation of chemical elemental composition of biosorbent surface. The two types of analysis were achieved by a ThermoFisher electron microscope at 100 and 10 μm resolution level, with 5 kV acceleration voltage, 500 μm horizontal field width and under a vacuum of 10−3 Pa.
3. Results and discussion
3.1. Effect of experimental conditions
3.1.1. Effect of solution pH
The initial pH is a crucial factor that should be taken into consideration in biosorption processes, as it provides information about the protonation state of active sites on the biosorbent surface and the possible influence of free hydronium ions (H3O+) and free hydroxide ions (OH−) on the retention of nitrates. Firstly, the pH effect on zeta potential of water-suspended biosorbent is worth exploring to gain insight into its surface charge for each pH range. The zeta potential measurements of aqueous solutions containing suspended P. oceanica powder are displayed against pH in Figure 2. In pH ranging from 2 to 6, the zeta potential is positive with gradual decrease, thus confirming the presence of positively charged groups ($\mathrm{RNH}_{3}^{+}$, $\mathrm{R}_{2}\mathrm{NH}_{2}^{+}$, R3NH+, and $-\mathrm{OH}_{2}^{+}$) on the biosorbent surface. The more neutralized the protonated groups are, the more the solution pH increases. Indeed, the rapid decrease in the zeta potential between pH = 6 and 6.5 can be attributed to the significant loss of positively charged groups neutralized by hydroxide ions. The zero-crossing point of the plot coincides with the pH value of 6.5. Commonly known as zero-charge point, this is when the surface of the biosorbent suspended in water is perfectly neutral, due to compensation between negative and positive charges on its surface. For pH values higher than the zero-charge point, the adsorbent surface becomes negatively charged due to the accumulation of hydroxide ions, which may cause the appearance of conjugate bases for some organic groups.
Effect of pH on zeta potential of P. oceanica powder in aqueous suspension. (Biomass dose = 3.33 g⋅L−1, temperature = 30 ± 2 °C).
The pH effect on the biosorbed amount was investigated over the pH range from 2 to 12 and results are presented in Figure 3.
Effect of pH on the nitrate biosorption onto P. oceanica powder. (Initial aqueous concentration = 5 mg⋅L−1, Biomass dose = 3.33 g⋅L−1, contact time = 60 min, temperature = 30 ± 2 °C).
Three significant regions characterize the plot. The first one covers the pH acid range from 2 to 5 where the biosorption percentage tends to be constant with a slight variation between pH = 2 and 3. In this region, free H3O+ react with superficial functional groups of P. oceanica such as amine and alcohol and protonate them affording ionized functions $\mathrm{RNH}_{3}^{+}$, $\mathrm{R}_{2}\mathrm{NH}_{2}^{+}$, R3NH+, and $-\mathrm{OH}_{2}^{+}$, which retain nitrate ($\mathrm{NO}_{3}^{-}$) by electrostatic forces. This result is in good agreement with the one obtained from the zeta potential study. However, at very low pH values between 3 and 2, the slight decrease of biosorption percentage could be explained by the increase in the number of hydrogen bonds between nitrate and hydronium ions in solution [65]. It can also be ascribed to the partial degradation of cellulose and other polymeric chains in the biosorbent [66].
The second region covers the pH range from 5 to 7 and presents a great increase in biosorption percentage, reaching 72.3% at pH = 6. The ascending part of the curve could be explained by a cooperative effect between two retention modes of nitrate happening simultaneously. The electrostatic interaction with ionized functions and ion exchange with hydroxide ions (OH−) retained by P. oceanica while in seawater and likely during the Section 2.1 step of biosorbent preparation. The cooperative effect between ion exchange and electrostatic interactions to retain nitrate is also confirmed by the zeta potential study. Indeed, at pH = 6, the adsorbent surface is positively charged, and the ion exchange between hydroxide and nitrate can easily take place. The descending part of the curve could be explained by the progressive disappearance of ionized sites, especially $-\mathrm{NH}_{3}^{+}$ which decreases by about 90% at pH = 7 as described by Navarro et al. [67].
The third region covers the pH range from 7 to 12, showing a nearly constant biosorption percentage with a very small increase toward the most basic media. In this pH region, the nitrate retention is mainly carried out by ion exchange with hydroxide ions. The ion exchange with hydroxide ions was experimentally proven by an increase in the final pH of solutions with initial pH values ranging from 5 to 12. As a result of this study, the optimum pH value chosen was 6, which will be used for all further experiments.
3.1.2. Effect of biosorbent dosage
The effect of P. oceanica powder dose on the biosorption of nitrate is displayed in Figure 4. The maximum biosorption percentage (82.2%) was found for the lowest biomass dosage (0.167 g⋅L−1), and subsequently, the biosorption significantly decreases until reaching 65% at 6 g⋅L−1. It is worth noting that the biosorbent dose used arbitrarily in the study of the pH effects (3.333 g⋅L−1) corresponds to 73.0%, which is not the optimum value. Figure 4 reveals that this value is located midway between the highest and lowest biosorption percentage values. On the other hand, the decrease in biosorption percentage versus the increasing biosorbent dose, could be explained by the fact that higher concentrations of biomass in suspension can exert a shell effect, thus preventing a good contact between nitrate and available adsorption sites. In fact, the shell effect can be understood by an agglomeration of adsorbent grains on top of each other when they are dispersed at high density in the solution, leading to a remarkable reduction in their specific surface area. As a result, there will not be good contact between the nitrate ions and the active sites of the biosorbent, which leads to a decrease in the percentage of biosorption when the biomass dose exceeds certain limits. Hence, biosorbent powder exhibits greater nitrate retention at lower dispersion densities than at higher ones. Similar findings were reported and interpreted in previous research works, such as ammonium biosorption by P. oceanica [68], orthophosphate biosorption by date palm fibers [69], and heavy metals biosorption by algae [70, 71]. As a result of this study, the optimum biosorbent dose was found to be 0.167 g⋅L−1, which would be used for all further experiments.
Effect of the biomass dosage on the nitrate biosorption onto P. oceanica powder. (Initial aqueous concentration = 5 mg⋅L−1, pH = 6, contact time = 60 min, temperature = 30 ± 2 °C).
3.1.3. Effect of initial concentrations and contact time
The effect of initial concentration and contact time on the biosorption of nitrate is displayed in Figure 5. The uptake efficiency is expressed by the amount of nitrate nitrogen biosorbed (Qe). The experiments were carried out at optimum conditions of pH and biomass dose and at room temperature. All plots in Figure 5 show almost the same trend with three kinetic stages. The first one corresponds to the first 10 min with a rapid increase in the biosorbed amount. In this stage, the fast biosorption can be explained by the existence of a large amount of sorption sites that provide the driving force for faster transfer of the nitrate onto the biosorbent surface as described in a previous work using active carbon to adsorb lead [72]. The second stage covers the range from 10 to 60 min and presents a slow and gradual increase in the biosorbed amount. This can be ascribed to the progressive saturation of sorption sites and the reaching of the equilibrium at the end of this period [72]. The third stage starts from 60 min and presents a saturation plateau corresponding to biosorption equilibrium. Furthermore, raising the nitrate concentration from 5 to 14 mg⋅L−1 of $\mathrm{NO}_{3}^{-}-\mathrm{N}$, allows the P. oceanica powder to increase its biosorption capacity.
Effect of initial concentrations and contact time on the nitrate biosorption onto P. oceanica powder. (pH = 6, Biomass dose = 0.167 g⋅L−1, temperature = 30 ± 2 °C).
Similar findings of the kinetic stages and the effect of initial concentrations were reported for the biosorption of chromium by P. oceanica fibers [42]. Thus, the contact time 60 min represents the beginning of the equilibrium state. As a result of this study, the efficiency of biosorption increases with the increase in the initial nitrate concentration, and the optimum contact time is 60 min. It is noted that the optimal contact time coincides with the agitation time chosen arbitrarily in previous experiments (effect of pH and biosorbent dosage), and this time would be used in the following experiments.
3.1.4. Effect of temperature
The effect of the temperature on the biosorption of nitrate by P. oceanica powder is displayed in Figure 6. This figure shows that the biosorption percentage increases significantly with the increase in temperature, from 82% at 30 °C to 87% at 50 °C. Such a behavior means that biosorption is an endothermic process and any increase in temperature is favorable to nitrate retention by P. oceanica powder.
Effect of temperature on the nitrate biosorption onto P. oceanica powder. (Initial aqueous concentration = 5 mg⋅L−1, pH = 6, Biomass dose = 0.167 g⋅L−1, contact time = 60 min).
3.2. Biosorption isotherms
The biosorption isotherm was plotted under the optimal conditions of different factors, at room temperature and with initial nitrate concentrations ranging from 5 to 15 mg⋅L−1 of $\mathrm{NO}_{3}^{-}-\mathrm{N}$ with an increment of 0.5 mg⋅L−1 of $\mathrm{NO}_{3}^{-}-\mathrm{N}$, as presented in Figure 7. The Langmuir linear model applied to this isotherm plotting 1/Qe versus 1/Ce indicates a good correlation with the experimental data (r = 0.992) and allows the determination of the maximum biosorption capacity Qmax = 41.6 mg⋅g−1 as well as the Langmuir constant b = 1.72 L⋅mg−1 (Figure 8). The equilibrium factor RL values were estimated from 0.037 to 0.104 depending on initial nitrate concentration. These RL values are significantly lower than 1 (close to zero), indicating that the biosorption of nitrate by P. oceanica powder is highly favorable (and tends toward irreversibility).
Isotherm of nitrate biosorption onto P. oceanica powder. (pH = 6, biomass dose = 0.167 g⋅L−1, contact time = 60 min, temperature = 30 ± 2 °C).
Langmuir linear model of the isotherm of nitrate biosorption onto P. oceanica powder. (pH = 6, biomass dose = 0.167 g⋅L−1, contact time = 60 min, temperature = 30 ± 2 °C).
In the Freundlich model, the linear plot of Ln(Qe) versus Ln(Ce) allows for the estimation of the Freundlich constant KF = 26.98 mg(1−(1/n))⋅L1/n⋅g−1 and the value of n = 5.26 (Figure 9). The Freundlich modeling also shows a good correlation with experimental data (r = 0.983) with an n value between 2 and 10, indicating a good biosorption process of nitrate by P. oceanica powder.
Freundlich linear model of the isotherm of nitrate biosorption onto P. oceanica powder. (pH = 6, biomass dose = 0.167 g⋅L−1, contact time = 60 min, temperature = 30 ± 2 °C).
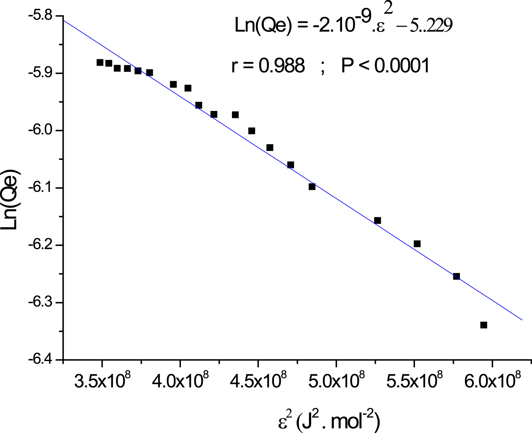
Figure 10 shows the D–R linear form model allowing the estimation of the maximum biosorption capacity Qmax = 75.0 mg⋅g−1 and the activity coefficient 𝛽 = 2 ⋅ 10−9 mol2⋅J−2. The D–R model also shows a good compatibility with experimental data (r = 0.988), and through the β value it allows the calculation of the biosorption mean free energy E = 15.81 kJ⋅mol−1.
D–R linear model of the isotherm of nitrate biosorption onto P. oceanica powder. (pH = 6, biomass dose = 0.167 g⋅L−1, contact time = 60 min, temperature = 30 ± 2 °C).
The parameters deduced from the Langmuir, Freundlich, and D–R models are summarized in Table 3.
Langmuir, Freundlich, and D–R parameters for the biosorption of nitrate onto P. oceanica powder
| Langmuir | Freundlich | D–R | ||||||
|---|---|---|---|---|---|---|---|---|
| b (L⋅mg−1) | Qmax (mg⋅g−1) | r | KF (mg(1−(1/n))⋅L1/n⋅g−1) | n | r | Qmax (mg⋅g−1) | E (kJ⋅mol−1) | r |
| 1.72 | 41.6 | 0.992 | 26.98 | 5.26 | 0.983 | 75.0 | 15.81 | 0.988 |
pH = 6, biomass dose = 0.167 g⋅L−1, contact time = 60 min, temperature = 30 ± 2 °C.
The Langmuir model has the highest correlation coefficient value (r) and fits better the experimental data. Moreover, although all three models demonstrate good fit with experimental data based on the Chi-square test (Table 4), the Langmuir model exhibits the smallest deviations between observed and theoretical values (smallest value of $\upchi _{\mathrm{obs}}^{2}$). Thus, biosorption mainly occurs by a monolayer process on a homogeneous surface with a finite number of identical sites, and no interaction between sorbed nitrate ions. Furthermore, the value of mean free energy, calculated by D–R model, is between 8 and 16 kJ⋅mol−1, substantiating that the nitrate biosorption was conducted by a chemisorption mechanism. In accordance with this mechanism, the nitrate ions were mainly retained by an ion exchange process as suggested in Section 3.1.1 of pH effect. They are also held by ion sharing between aqueous solution and biosorbent surface as mentioned by previous research works using P. oceanica to remove ammonium ions [68] and metal-complexed textile dye [73] from aqueous solutions.
Conformity Chi-square test applied at 95% confidence level to the isotherm models used
| Chi-square test | Langmuir | Freundlich | D–R |
|---|---|---|---|
| $\upchi _{\mathrm{obs}}^{2}$ | 0.216 | 0.369 | 6.485 |
|
$\upchi _{\mathrm{c}}^{2}$
n − 1 = 18; α = 0.05 |
28.869 | 28.869 | 28.869 |
| Retained hypothesis | H0 | H0 | H0 |
Figure 11 displays the Langmuir nonlinear model superposed on the experimental isotherm of nitrate biosorption. It is clearly demonstrated that the Langmuir saturation plateau begins at an equilibrium concentration of 6 mg⋅L−1 of $\mathrm{NO}_{3}^{-}-\mathrm{N}$, corresponding to the initial concentration of 12.5 mg⋅L−1 of $\mathrm{NO}_{3}^{-}-\mathrm{N}$. This initial concentration, in turn, matches 12.5 × 4.428 = 55.35 mg⋅L−1 of $\mathrm{NO}_{3}^{-}$. What is worthy to note is that the Langmuir slope is high for concentrations below 55.35 mg⋅L−1 of $\mathrm{NO}_{3}^{-}$, and much smaller for those above this threshold. This observation clearly shows that the first biosorption layer is saturated for an initial nitrate concentration of 55.35 mg⋅L−1 and that the additional biosorption of nitrates to form a second layer is practically difficult or very unlikely. It indicates that the P. oceanica powder is efficient to treat moderate content nitrate waters, such as most natural waters, potable water, and secondary treated urban wastewater.
Isotherm and Langmuir non linear model of nitrate biosorption onto P. oceanica powder (pH = 6, biomass dose = 0.167 g⋅L−1, contact time = 60 min, temperature = 30 ± 2 °C).
Furthermore, based on Langmuir and experimental maximum biosorption capacity (41.6 and 39 mg/g, respectively), the comparison with other nitrate adsorbents in the literature reveals that P. oceanica powder is one of the most efficacious nitrate biosorbent (Table 5). This biosorbent also presents more advantages such as being free, widely abundant in Mediterranean coasts, and easily applied without previous preparations. The high value of nitrate uptake by P. oceanica powder was reached without the need of any chemical modification or cross-linking with other material as mentioned in many previous research works (see Table 5). At full scale, the raw water to be denitrified by P. oceanica powder does not require special treatment before or after biosorption, which makes for an easy application and low-cost process. Besides, the biosorbent saturated after use can be incinerated and stocked in confined places far from natural water resources.
The maximum adsorption capacity of nitrate by various adsorbents cited in literature
| Adsorbent | Qmax (mg of nitrate/g) (original unit in the reference) | Qmax (mg of nitrate nitrogen/g) | Reference |
|---|---|---|---|
| Zinc chloride (ZnCl2) treated coconut granular activated carbon | Langmuir: 10.26 at 25 °C | 2.31 | [74] |
| Langmuir: 10.37 at 10 °C | 2.34 | ||
| Activated carbon from pomegranate rind (treated at 300 °C) | Langmuir: 13.10 | 2.96 | [29] |
| Langmuir: 11.61 | 2.62 | ||
| Sugarcane bagasse vermicompost | Langmuir: 15.77 | 3.56 | [26] |
| Sips: 17.19 | 3.88 | ||
| Agriculture waste | Wheat straw charcoal: 1.1 | [27] | |
| Mustard straw charcoal: 1.30 | |||
| Commercial activated carbon: 1.22 | |||
| Chitosan | Experimental: 19 | 4.29 | [25] |
| Langmuir: 8.03 | 1.81 | ||
| Freundlich: 23.85 | 5.39 | ||
| Various materials for nitrate adsorption | Activated carbon: 4.14 | 0.93 | [30] |
| Sepiolite: 3.46 | 0.78 | ||
| Sepiolite activated by HCl: | |||
| Experimental: 9.80 | 2.21 | ||
| Langmuir: 38.16 | 8.61 | ||
| Zeolite-supported zero-valent iron nanoparticles | Langmuir: 22.94 | 5.18 | [75] |
| Local clay | Experimental: 5.10 | 1.15 | [76] |
| Langmuir: 27.77 | 6.27 | ||
| Polyethylene glycol/chitosan composites and polyvinyl alcohol/chitosan composites | (PEG) Langmuir: 35.03 | 7.91 | [31] |
| (PVA) Langmuir: 50.68 | 11.44 | ||
| Activated carbon coated by Fe3O4 magnetic nanoparticles | Langmuir: 57.1 at 20 °C | 12.89 | [32] |
| Langmuir: 64.5 at 35 °C | 14.56 | ||
| Magnetic Co3O4/Fe3O4 doped polyaniline nanocomposite | Langmuir: 68.96 | 15.57 | [77] |
| Chitosan hydrogel beads | Langmuir: 92.1 | 20.80 | [78] |
| Magnetic amine-crosslinked biopolymer | Langmuir: 65.36 at 25 °C | 14.76 | [33] |
| Langmuir: 102.04 at 45 °C | 23.04 | ||
| Modified wheat residue | Modified wheat residue: | 29.12 | [79] |
| Langmuir: 2.08 (mmol/g) | |||
| Raw wheat residue | |||
| Langmuir: 0.02 (mmol/g) | 0.28 | ||
| Magnetic zeolite/nanocomposite | Experimental: 421.5 | 95.2 | [80] |
| Langmuir: 500 | 112.9 | ||
| Polymer modified with quaternary ammonium groups | Langmuir: 221.81 | 50.1 | [81] |
| Carbon | Powdered activated carbon: | 140.0 | [24] |
| Langmuir: 10 mmol/g | |||
| Carbon nanotube: | 350.0 | ||
| Langmuir: 25 mmol/g | |||
| The present work | Experimental: 39 | ||
| Langmuir: 41.6 |
The nitrate removal from aqueous media by biosorption onto the dead seagrass P. oceanica makes it possible to solve several problems simultaneously in Tunisia. On the one hand, the nitrate removal from drinking water protects public health against several diseases, particularly among infants and vulnerable populations (pregnant women, elderly, etc.). On the other hand, not only does it help clearing coastal areas of massive brown piles of dead P. oceanica but it also makes the landscape pleasant for swimming and tourist activities, as well as facilitates the fishing boats mooring and maneuvering in ports. In addition, the nitrate removal in wastewater treatment plants makes it possible to avoid discharging nitrogen-rich water into aquatic media (sea, rivers, or lakes) and, consequently, avoids the phenomenon of eutrophication. The latter risks may lead to an ecological imbalance due to the depletion of dissolved oxygen.
3.3. Kinetic modeling and biosorption mechanism investigation
Table 6 displays the calculated coefficients k1 and Qcal.1 for the pseudo-first-order model, k2 and Qcal.2 for the pseudo-second-order model, and kp for the intraparticle diffusion model, along with the corresponding correlation coefficient (r) for each. For the pseudo-first order model, except for only one value of r (0.995), all the others are relatively low, lying between 0.950 and 0.990. Furthermore, the difference between the calculated and experimental values of nitrate nitrogen amount adsorbed at equilibrium is very high. The error between the experimental and theoretical data ranges from 41 to 85%. As a result, the pseudo-first-order model fits the experimental data poorly and cannot describe the biosorption.
Kinetic parameters for the biosorption of nitrate onto P. oceanica powder
| Initial nitrate-nitrogen concentration (mg⋅L−1) | ||||||
|---|---|---|---|---|---|---|
| 5 | 7 | 10 | 12 | 14 | ||
| Experimental Qe (mg⋅g−1) | 24.5 | 29.0 | 34.8 | 37.7 | 42.1 | |
| Pseudo-first-order model | k1 (min−1) | 0.007 | 0.028 | 0.034 | 0.033 | 0.033 |
| Qcal.1 (mg⋅g−1) | 3.6 | 5.1 | 20.9 | 21.8 | 24.9 | |
| r | 0.990 | 0.995 | 0.974 | 0.968 | 0.950 | |
| Pseudo-second-order model | k2 (g⋅mg−1⋅min−1) | 0.009 | 0.010 | 0.013 | 0.018 | 0.009 |
| Qcal.2 (mg⋅g−1) | 25.6 | 30.3 | 35.7 | 38.5 | 43.5 | |
| r | 0.997 | 0.999 | 0.999 | 0.999 | 0.999 | |
| Intraparticle diffusion | kp (mg⋅g−1⋅min−0.5) | 0.210 | 0.690 | 0.796 | 0.554 | 1.011 |
| r | 0.987 | 0.991 | 0.997 | 0.981 | 0.998 | |
pH = 6, biomass dose = 0.167 g⋅L−1, temperature = 30 ± 2 °C.
For the pseudo-second-order model, the correlation coefficients for all initial concentrations are extremely high, ranging between 0.997 and 0.999. Moreover, the difference between the calculated and experimental values of nitrate-nitrogen amount adsorbed at equilibrium is minimal (error between 2.1 to 4.5%) (Figure 12). These results reveal a good agreement between the experimental and theoretical data, which means that the biosorption is well described by the pseudo-second-order model. Consequently, biosorption is mainly governed by a chemical process involving ion exchange or anion sharing between nitrate and biosorbent, as described by some previous research works using P. oceanica for ammonium [68] and orthophosphate [44] removal.
The plots of the pseudo-second-order model of nitrate biosorption onto P. oceanica powder. (pH = 6, biomass dose = 0.167 g⋅L−1, temperature = 30 ± 2 °C).
On the other hand, the plot of intraparticle diffusion model displayed in Figure 13 clearly shows the three stages of mass transfer as mentioned in Section 2.7. For all initial nitrate-nitrogen concentrations, the first stage (t1/2 between 0 and 3.1) is characterized by high slope and describes the film diffusion, in which there is transport of nitrate from solution to the exterior surface of the cell membrane of P. oceanica. The second stage of the curve, with lower slopes (t1/2 between 3.1 and 7.8), represents the intraparticle diffusion, in which nitrate is transported from the extracellular environment into the interior of the cell membrane of P. oceanica. The third stage, with null slopes (t1/2 > 7.8) reflects the equilibrium state of nitrate biosorption. As a result of this analysis, the presence of three distinguished stages in the curves for all initial concentrations and the relatively high correlation coefficients of the linearized intraparticle diffusion section (r between 0.981 and 0.998; see Table 6) lead to the conclusion that intraparticle diffusion model plays an important role in the nitrate biosorption onto P. oceanica.
The plots of intraparticle diffusion model of nitrate biosorption onto P. oceanica powder. (pH = 6, biomass dose = 0.167 g⋅L−1, temperature = 30 ± 2 °C).
3.4. Thermodynamic study
This study gives insight into the description and estimation of the behavior of the biosorption reaction, such as its spontaneity, thermicity, and the variation introduced on the randomness state in the biosorbent–solution system. The same experimental data used in Section 3.1.4 (temperature effect) were used to calculate $\Delta {G}_{T}^{0}$ at each chosen temperature. The values of $\Delta {H}_{T}^{0}$ and $\Delta {S}_{T}^{0}$ were determined through the slope and intercept of the plot Ln(KC) = f(1/T) (Figure 14), respectively. All thermodynamic results are summarized in Table 7.
The plot of Ln(KC) versus 1/T. (Initial aqueous concentration = 5 mg⋅L−1, pH = 6, biomass dose = 0.167 g⋅L−1, contact time = 60 min).
Thermodynamic parameters for the biosorption of nitrate onto P. oceanica powder
| T (°C) | KC | $\Delta {G}_{T}^{0}$ (kJ⋅mol−1) | $\Delta {H}_{T}^{0}$ (kJ⋅mol−1) | $\Delta {S}_{T}^{0}$ (J⋅mol−1⋅K−1) |
|---|---|---|---|---|
| 30 | 4.70 | −3.90 | 16.15 | 65.97 |
| 35 | 5.02 | −4.13 | ||
| 40 | 5.50 | −4.44 | ||
| 45 | 6.27 | −4.85 | ||
| 50 | 6.91 | −5.19 |
Initial aqueous concentration = 5 mg⋅L−1, pH = 6, biomass dose = 0.167 g⋅L−1, contact time = 60 min.
As shown by Table 7 and Figure 14, the negative sign of $\Delta G_{T}^{0}$ at all chosen temperatures means that biosorption is spontaneous, whereby no energy input from outside the system is required. The positive value of $\Delta {H}_{T}^{0}$ indicates that the biosorption is endothermic in nature as it was noticed previously (Section 3.1.4). Furthermore, the low value of biosorption heat ($\Delta {H}_{T}^{0}<40$ kJ⋅mol−1) obtained in this work indicates that nitrate was mainly retained by electrostatic interactions and no covalent bond should take place, as described and suggested by a previous research work using chitosan hydrogel beads to remove nitrate from water [78]. The positive value of entropy, in turn, means an increase in the randomness state of the solid–liquid interface after nitrate retention, which indicates some changes occurring in the internal structure of the biosorbent [82].
3.5. FTIR characterization
The aim of infrared characterization is to compare the spectra of P. oceanica powder before and after incubation with nitrates to locate the appearance of new bands or the modification in intensity or shape of certain already-existing bands. To this end, attributing bands to functional groups and chemical bonds requires the use of reference work and the infrared correlation chart. Figure 15 shows two superposed spectra of P. oceanica before and after nitrate retention.
Infrared spectra of P. oceanica powder. (a) Native P. oceanica; (b) loaded P. oceanica–$\mathrm{NO}_{3}^{-}$.
Since P. oceanica is a plant material consisting mainly of cellulose and other less important constituents, such as proteins and lignin, their characteristic bands are clearly visible on both spectra. Indeed, the band around 3340 cm−1 can correspond either to the valence vibration of bound –O–H, or to the valence vibrations of –NH in amines emanating from the plant’s vegetal proteins [83, 84]. The band around 2920 cm−1 corresponds to the –C–H alkane valence vibration [85, 86], while the band around 1638 cm−1 is attributed to the N–H amine deformation vibration [83], as well as the H–O–H valence vibration of the absorbed water [85, 86]. The band around 1508 cm−1 could correspond to the N–H valence vibration in the amino acids of plant proteins $\mathrm{RNH}_{3}^{+}$, $\mathrm{R}_{2}\mathrm{NH}_{2}^{+}$, and R3NH+ as well as the deformation vibration of N–H in primary amines [83]. The bands around 1272 and 1033 cm−1 can correspond to the C–O valence vibrations of aryl ether and alkyl ether, respectively. On the spectrum of the loaded P. oceanica–$\mathrm{NO}_{3}^{-}$, the appearance of new bands provides evidence for the insertion of nitrate ions into the structure of plant fibers. The two bands around 1609 and 1366 cm−1 are characteristic of the nitrate ion as shown in a previous study [83]. Indeed, the band around 1609 cm−1, which forms a shoulder with the band at 1638 cm−1 by changing its shape, can correspond to the asymmetric valence vibration of the nitro –NO2 group. The band around 1366 cm−1 may correspond to the symmetrical valence vibration of the nitro –NO2 group, as illustrated by Scheme 1 (see Section 2.9 in the Material and methods section).
The small new band that appears on the P. oceanica–$\mathrm{NO}_{3}^{-}$ spectrum around 824 cm−1 may correspond to the out-of-plane N–H deformation vibration of amines [83]. The appearance of this band could be explained by interactions between nitrates and amines. Given that the nitrate ion can be neither a Lewis acid nor a Lewis base, the hypothesis of its retention through coordination bonds is unlikely to be accepted. It then appears that nitrate ions are retained mainly via electrostatic bonds with charged amines $\mathrm{RNH}_{3}^{+}$, $\mathrm{R}_{2}\mathrm{NH}_{2}^{+}$, and R3NH+. The hypothesis of intraparticle retention by the diffusion of nitrates in the cavities of the cellulose crystal lattice can also be considered [87].
3.6. SEM and EDS characterization
Figure 16 displays the SEM micrographs of native P. oceanica and P. oceanica–$\mathrm{NO}_{3}^{-}$ obtained at 50 and 5 μm magnifications. The micrograph at 50 μm obviously shows the ultimate cellulosic fibers. At this resolution level, while the micrograph of native P. oceanica illustrates the condensed and assembled fibers, that of P. oceanica–$\mathrm{NO}_{3}^{-}$ elucidates isolated fibers that are far from each other. These observations can be explained by the insertion of nitrate ions between the fibers and the formation of new electrostatic bonds, including hydrogen bonds and van der Waals forces. These new forces impose a sort of arrangement and orientation of the fibers in well-defined directions [88], and thus the fibers move away from each other. The micrograph at 5 μm shows the surface of one ultimate cellulosic fiber. At this resolution level, the micrograph of native P. oceanica indicates a homogenous surface covered by intact plant matter. However, the micrograph of P. oceanica–$\mathrm{NO}_{3}^{-}$ suggests a degraded and fragmented layer, which supports the hypothesis of chemical structure modification on the fiber surface following interaction with nitrate ions.
SEM photograph of P. oceanica powder before (a) and after nitrate biosorption (b).
Figure 17 shows the EDS spectra (chemical analysis) of native P. oceanica and loaded P. oceanica–$\mathrm{NO}_{3}^{-}$. The spectrum (a) of native P. oceanica shows the two significant signals of oxygen and nitrogen, which provides strong evidence not only that nitrogen exists in the chemical structure of the plant biomass as amine groups, but also that oxygen exists as alcohol groups and in the pyranosic rings of cellulosic chains. The spectrum (b) of P. oceanica–$\mathrm{NO}_{3}^{-}$ shows a notable increase in nitrogen and oxygen signals, explained by the insertion of nitrate into the plant’s biomass structure. Moreover, it is worth noting that the oxygen signal increases significantly more than that of nitrogen. This observation can be explained by the fact that each incoming nitrate ion introduces one nitrogen atom and three oxygen atoms.
EDS spectra of P. oceanica powder before (a) and after nitrate biosorption (b).
3.7. Biosorption mechanism
Understanding the biosorption mechanism is crucial to identifying the chemical groups or ions on the biosorbent surface that are involved in nitrate retention. Kinetic study shows that the biosorption is well described by the pseudo-second-order model rather than the pseudo-first-order one, and the D–R isotherm modeling, in turn, demonstrates that the mean free energy is between 8 and 16 kJ⋅mol−1. Together, both results confirm that nitrate was retained by chemisorption [89, 90, 91, 92]. In accordance with this, the nitrate ions were mainly retained by an ion exchange process, as observed and described by some previous studies [68, 73]. The hypothesis of chemisorption via ion exchange with hydroxide ions was experimentally proven during the pH effect study. In fact, following the biosorption process, the final pH of the aqueous solutions was consistently higher than the initial pH across the range of 5–12. Furthermore, the intraparticle isotherm model reveals good agreement with the experimental data, and its plot clearly displays the three stages upon which its assumptions are based (see Figure 13). This behavior suggests that nitrate retention by intraparticle diffusion may occur, but to a lesser extent than by ion exchange. On the other hand, the analysis of infrared spectra indicates that nitrate may interact through electrostatic forces with the charged amine on the biomass surface ($\mathrm{RNH}_{3}^{+}$; $\mathrm{R}_{2}\mathrm{NH}_{2}^{+}$; R3NH+). However, at pH = 6 (optimal value for biosorption), the number of protonated amines on the biosorbent surface is very small, which suggests that this process of nitrate retention is very weak compared to that of ionic exchange. In conclusion, it is estimated that at pH = 6, nitrate retention occurs predominantly through ion exchange, which appears to be the most significant mechanism, while electrostatic interactions and intraparticle diffusion may also occur but play a considerably lesser role.
4. Conclusion
The removal of nitrate from aqueous solutions was performed by biosorption onto abundant sea plant P. oceanica. The biosorption was carried out in batch experiments at room temperature and under optimal conditions. It was found that the Langmuir model fit better the experimental data, confirming a monolayer biosorption process onto homogeneous surface and with a finite number of identical active sites. The Langmuir maximum nitrate uptake was found to be equal to 41.6 mg⋅g−1 of nitrate nitrogen, showing good efficiency of the biosorbent used. This high value of nitrate uptake by P. oceanica powder was reached without the need for any chemical modification or cross-linking with other material as mentioned in many previous research works reported in the literature. The Dubinin–Radushkevich modeling, in turn, gives a mean free energy of 15.81 kJ⋅mol−1, illustrating that nitrate was retained through a chemisorption process involving ion exchange or ion sharing between the aqueous solution and the adsorbent surface. The thermodynamic study shows that biosorption is spontaneous, endothermic in nature, and accompanied by an increase in entropy. The spectroscopic characterization by FTIR indicates that nitrate was mainly retained through electrostatic interactions with protonated amines onto the biosorbent surface. This result is further supported by EDS and SEM analyses. Consequently, the sea plant P. oceanica demonstrates strong potential as an effective biosorbent for nitrate removal from natural waters, offering a sustainable alternative to conventional denitrification methods.
CRediT authorship contribution statement
Abdelbasset Ben Dkhil: Conceptualization, Methodology, Investigation, Formal Analysis, Writing – original draft.
Haitham Elleuch: Investigation, Vizualisation.
Anissa Somrani: Writing – Review and Editing, Formal Analysis.
Amor Hafiane: Writing – Review and Editing, Project administration.
Declaration of interests
The authors do not work for, advise, own shares in, or receive funds from any organization that could benefit from this article, and have declared no affiliations other than their research organizations.
Funding
The authors would like to thank the Ministry of Higher Education and Scientific Research of Tunisia for financial support of this research work.


CC-BY 4.0
